Fall 1997 Biology 111 Exam #3 - end of genetics + Bioenergetics
There is no time limit on this test, though I have tried to design one that
you should be able to complete within 2.5 hours, except for typing. You
are not allowed to use your notes, old tests, or any books, nor are you
allowed to discuss the test with anyone until all exams are turned in at
9 am on Tuesday November 25. EXAMS ARE DUE AT CLASS TIME ON MONDAY November
24. You may use a calculator and/or ruler. The answers to the questions
must be typed on a separate sheet of paper unless the question
specifically says to write the answer in the space provided. If you do not
write your answers on the appropriate pages, I may not find them unless
you have indicated where the answers are.
Please do not write or type your name on any page other than this cover
page. Staple all your pages (INCLUDING THE TEST PAGES) together when
finished with the exam.
Name (please print):
Write out the full pledge and sign:
How long did this exam take you to complete (excluding typing)?
Lab Questions:
6 pts.
1) List the three phenotypes of the bacteria we used in the Ames test and
briefly describe why these traits are useful for the Ames test.
a) a histidine minus auxotroph - cells cannot
grow unless this mutation is mutated back to wild-type
b) weakened cell wall so potential mutagens can get into the cells easier
c) DNA repair mechanisms are defective so that mutations in DNA replication
are not repaired
4 pts.
2) Given the following data from an Ames
test, which mutagen or mutagens is/are mutagenic and for which
strains?
1538 - cigar juices
97a - used motor oil
100 - cigar juices
102 - opium
Lecture Questions:
4 pts.
3) What is a restriction fragment length polymorphism?
What two parts or components are required to define a restriction fragment
length polymorphism?
A restriction fragment length polymorphism is what
results when you digest DNA with restriction enzymes, electrophorese those
fragments on a gel and then determine the length of a particular fragment
for each sample that contains a marker sequence. The marker sequence is
detected with the use of a probe.
The two parts are the particular restriction enzyme used, and the sequence
of the probe that was used.
6 pts.
4) Is this a dominant or recessive disease?
Determine which band or bands is/are associated with this disease.

This is dominant.
The bottom band is associated with the disease.
6 pts.
5) While the movement of water across a membrane cannot be directly controlled,
it can be indirectly controlled. Explain how the movement of water is controlled.
The movement of water can be controlled by controlling
the concentration of ions such chloride ions. If you wanted to move more
water into an area, you could increase the concentration of chloride in
that area and water would enter the same area. This process is called osmosis.
8 pts.
6) List 4 major events that happen during the light reaction of photosynthesis.
Light energy is absorbed by the photosystems I
and II.
ATP is generated.
NADPH is generated.
Water is split to fill the electron holes in PSII and oxygen is produced
as a waste product.
4 pts.
7) Three wavelengths of light were traveling down the street one day: green,
red and blue. All three slam into the red part of a stop sign. Which wavelengths,
if any, will bounce back off the sign? Explain your answer.
RED.
When we see a color, it is because those wavelengths are not absorbed by
a pigment. Therefore, a red object reflects red light and obsorbs all other
colors.
8 pts.
8) Later that same day, an ADP molecule is converted into ATP. Determine
the change in heat of the reaction, the change in free energy, and the change
in entropy. To answer this question completely, you MUST:
a) associate the single letter symbol for each of the three terms,
b) indicated whether the change is positive or negative, and
c) tell me which is bigger, the change in free energy or the change in the
heat of the reaction?
change in the heat of the reaction = delta H =
positive
change in free energy = delta G = positive
change in entropy = delta S = negative
delta H has to be bigger since it is a measure
of all the energy: G=H-ST
4 pts.
9) What is the driving force for the splitting of water during photosynthesis?
The driving force is the electron holes generated
by the excitation of elecrons in photosystem II (PSII) during non-cyclic
electron flow. The electrons from PSII wind up filling the holes of PSI.
Thus, PSII is very elecronegative and pulls the electrons away from water.
7 pts.
10) What are the direct or immediate energy sources that are required to
synthesize PGAL?
In which parts of photosynthesis are these energy sources created, and in
which ratios?
ATP and NADPH
Cyclic electron flow of the light reaction produces ATP only while non-cyclic
eletron flow of the light reaction produces both ATP and NADPH, roughly
a one-to-one ratio.
3 pts.
11) What is the function of ribulose bisphosphate carboxylase?
Also known as Rubisco, this enzyme is responsible
for fixing carbon dioxide. That means it couples one CO2 to a 5 carbon molecule to form a
6 carbon molecule which is citric acid, the first intermediate in the citric
acid cycle to form glyceraldehyde 3 phasophate.
2 pts.
12) What element is reduced by Rhizobium bacteria that is required
by the humble soy bean?
Nitrogen.
8 pts.
13) What is the difference between oxidative phosphorylation and substrate
level phosphorylation?
Where do each of these processes happen?
Which one yields more ATP?
Which of these two processes do plants or animals do?
Oxidative phosphorylation refers to the formation of ATP via chemiosmosis during cellular respiration. Substrate level phosphorylation takes place during glycolysis (cytoplasm) and citric acid cycle (mitochondrial matrix) and is due to direct phosphorylation of ADP to form ADP but does not involve the ATP synthase.
Oxidative phosphorylation yields much more ATP per glucose than does substrate level.
Plants and animals both use both forms since both
perform cellular respiration.
10 pts.
14) What are the end products of glycolysis and the citric acid cycle and
how much of each product is there after a single glucose molecule has been
catabolized in glycolysis and the citric acid cycle?
glycolysis
2 ATP
2 NADH
2 pyruvate
citric acid cycle
2 ATP
8 NADPH
2 FADH2
6 CO2
(Bonus question +2 pts. If you assume that glucose produces 36 ATP
molecules in all of cellular respiration, how many ATP are produced
from a single NADH? To get any credit here, you must show how you calculated
your answer.)
36 - 4 = 32 ATP from chemiosmosis
Since FADH2
does not produce as much of a proton-motive force as NADH does (about 2/3
as much), and there are 10 NADHs for every 2 FADH2's, we can estimate that each NADH
produces about 2.8 ATP molecules.
2x2 = 4 (FADH2)
2.8 x 10 = 28 (NADH)
28+4 = 32 ATP
6 pts.
15) Why does cyanide kill a person?
Why might paraquat be toxic to humans?
Cyanide kills because it binds to a cytochrome that is needed to transfer electrons down the electron transport pathway for oxidative phosphorylation (see above). Without this flow, there is no electron transport, the entire system backs up so the cause of death is lack of ATP.
Paraquat is also strongly electronegative and if
it were to enter a cell, perhaps it would act like cyanide and block the
flow of electrons and prevent the production of ATP.
6 pts.
16) What does Clostridium tetanii
do with its NADH and pyruvate that is produced during glycolysis?
How much ATP is produced by Clostridium tetanii with the processing
of NADH and pyruvate?
It converts its NADH and pyruvate into lactic acid
and NAD+ or ethanol, CO2, and NAD+; this is fermentation.
2 ATP are produced by glycolysis, but none is produced during fermentation.
6 pts.
17) What kind of paralysis is caused by tetanus toxin and how does it cause
paralysis?
When you are given a tetanus vaccine, what are you injected with and why?
Rigid paralysis is produced by tetanus because
the toxin inactivates VAMP in the neurons which are capable of releasing
the neurotransmitter that allows your muscles to relax.
A vaccine for tetanus is a toxoid which is an inactivated form of the toxin.
This form will generate an antibody response but will not kill you in the
process since it is inactivated.
2 pts.
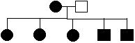
18) Draw a family pedigree for a family when the mother has a genetic defect
in her mitochondrial DNA. In this family, there are 5 children: 3 girls
and 2 boys.
